Рубликатор

 



























Все о псориазе



С. Моравик Т. Зедничек

Сравнение характеристик танталовых и алюминиевых конденсаторов

Существует множество различных типов танталовых и алюминиевых конденсаторов. В этой статье рассматриваются только конденсаторы в корпусах для поверхностного монтажа (SMT) как наиболее перспективные и часто применяемые. В табл. 1 приведены результаты сравнения этих двух типов конденсаторов по основным техническим и потребительским параметрам.

Размеры и эффективность использования объема

Для танталовых конденсаторов эффективность использования объема (отношение запасаемой энергии к объему корпуса конденсатора) очень велика и может достигать значений, в 18 раз лучших соответствующего показателя для алюминиевых конденсаторов. В табл. 2 приведены типичные значения емкостей танталовых конденсаторов для различных типов корпусов, а в табл. 3 — аналогичные показатели для алюминиевых конденсаторов.

Стандартные электрические параметры

В табл. 4 приведены результаты сравнения стандартных электрических параметров танталовых и алюминиевых конденсаторов одинаковой емкости. Следует заметить, что приведенные в таблице коды типоразмера корпуса соответствуют разным физическим размерам для танталовых и алюминиевых конденсаторов (см. табл. 2 и 3).

Надежность

Танталовые конденсаторы имеют большую, по сравнению с алюминиевыми, надежность. Это связано с технологией производства, а также с практически полным отсутствием износа с течением времени. При использовании алюминиевых конденсаторов потеря емкости в процессе эксплуатации может стать существенной проблемой. На рис. 1 приведены графики зависимости частоты отказов от времени наработки для рассматриваемых типов конденсаторов, а на рис. 2 — графики зависимости потери емкости алюминиевых конденсаторов в зависимости от времени и рабочей температуры.

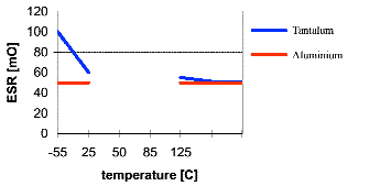
Частотные и температурные характеристики

В целом, такой параметр, как эквивалентное последовательное сопротивление на частотах выше 1 кГц оказывается лучшим у алюминиевых конденсаторов (см. рис. 3). Однако с ростом рабочей температуры разница становится минимальной, поскольку у танталовых конденсаторов имеется ярко выраженная зависимость ESR от температуры (рис. 4). В то же время зависимость емкости от температуры у танталовых конденсаторов гораздо менее жесткая, чем у алюминиевых (рис. 5).

Индуктивность

Алюминиевые конденсаторы не рекомендуются для использования в тех областях, где индуктивность является критичным параметром, например, в цепях питания цифровых схем с малым временем смены уровня сигнала. Высокая индуктивность не позволяет конденсатору достаточно быстро обеспечивать цепи необходимой энергией, поэтому возможны значительные провалы питающего напряжения. На рис. 6 приведены осциллограммы испытаний алюминиевых и танталовых конденсаторов на работу в цепях питания с быстрым изменением тока, потребляемого нагрузкой. Красным кружком на рисунке отмечено то место, где напряжение опустилось ниже допустимого предела.


Статьи по: ARM PIC AVR MSP430, DSP, RF компоненты, Преобразование и коммутация речевых сигналов, Аналоговая техника, ADC, DAC, PLD, FPGA, MOSFET, IGBT, Дискретные полупрoводниковые приборы. Sensor, Проектирование и технология, LCD, LCM, LED. Оптоэлектроника и ВОЛС, Дистрибуция электронных компонентов, Оборудование и измерительная техника, Пассивные элементы и коммутационные устройства, Системы идентификации и защиты информации, Корпуса, Печатные платы

Design by GAW.RU